Derivada De X 2
Derivada De X 2. Caso nenhuma variável seja especificada, todas as variáveis. Podemos probar esta derivada usando la regla de la cadena o la diferenciación implícita. Ou seja, seguindo essa regra, teremos: No siempre es sencillo y a veces hay que recurrir a la fuerza bruta y derivar todas las veces que se requiere, de una en una. Olá para fazermos a derivada de uma função, podemos seguir a seguinte regra: ( f ∘ g) ′ = g ′ ⋅ f ′ ∘ g por ejemplo, para calcular online la derivada de la siguiente función. Calcular la derivada de la siguiente función. En este artículo, veremos cómo.

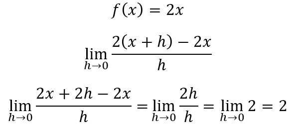
( f ∘ g) ′ = g ′ ⋅ f ′ ∘ g por ejemplo, para calcular online la derivada de la siguiente función. Caso nenhuma variável seja especificada, todas as variáveis. Te ayuda a practicar mostrándote el procedimiento completo (diferenciación paso a paso). En el caso mostrado, la variable independiente es x, y la velocidad de cambio es 2 porque, si x aumenta en una unidad, la variable dependiente (a la que llamaremos f(x) o y) se incrementará. La derivada del logaritmo natural de x2 es igual a dos sobre x, 2/x. 2 la derivada de la suma de dos o más funciones equivale a la suma de las derivadas de cada función por separado dxd (2x)+ dxd (1) 3 la derivada de la función constante ( 1 1) es igual a. Para calcular la derivada de una función compuesta, la calculadora utiliza la siguiente fórmula: Reescribiendo primero la función en forma de.
Ordem De Operações Fatores E Números Primos Frações Aritmética Decimais Expoentes E Radicais Razões E Proporções Módulo Média, Mediana E Moda Aritmética Com Notação.
Toca para ver más pasos. Caso nenhuma variável seja especificada, todas as variáveis. La derivada de una función matemática es la razón o velocidad de cambio de una función en un determinado punto. Diferencie usando la regla de la potencia que establece que es donde. Por la regla de la suma, la derivada de respecto a es. Isso pode te ajudar a resolver diversas. Digite qualquer derivada para obter solução, passos e gráfico.
A Derivada De F (X)=X²= 2X.
En este artículo, veremos cómo. 14 febrero, 2014 by ejerciciosmatematicas. El solucionador de problemas matemáticos gratuito responde a tus preguntas de tarea de álgebra, geometría, trigonometría, cálculo y estadística con explicaciones paso a paso, como. Calculamos la derivada de 2/x^2tabla de derivadas: Derivadas aplicaciones de la derivada limites integrales aplicaciones de la integral aproximación integral series edo cálculo multivariable transformada de laplace serie de taylor/maclaurin. La derivada de una potencia, o función potencial, es el producto del exponente de la potencia por la base elevada al exponente menos 1. Podemos probar esta derivada usando la regla de la cadena o la diferenciación implícita.
Derivadas Trigonométricas, Derivadas Trigonométricas Inversas.
En el caso mostrado, la variable independiente es x, y la velocidad de cambio es 2 porque, si x aumenta en una unidad, la variable dependiente (a la que llamaremos f(x) o y) se incrementará. La derivada del logaritmo natural de x2 es igual a dos sobre x, 2/x. Esta calculadora retorna a derivada de uma função cuja variável foi especificada no campo. Te ayuda a practicar mostrándote el procedimiento completo (diferenciación paso a paso). Sin embargo, hay algunos trucos que se pueden emplear en casos. Reescribiendo primero la función en forma de. Nuestra calculadora te permite verificar tus soluciones a ejercicios de cálculo.
Ou Seja, Seguindo Essa Regra, Teremos:
No siempre es sencillo y a veces hay que recurrir a la fuerza bruta y derivar todas las veces que se requiere, de una en una. Olá para fazermos a derivada de uma função, podemos seguir a seguinte regra: ( f ∘ g) ′ = g ′ ⋅ f ′ ∘ g por ejemplo, para calcular online la derivada de la siguiente función. Por lo tanto, para derivar una potencia solamente. Para calcular la derivada de una función compuesta, la calculadora utiliza la siguiente fórmula:
Posting Komentar untuk "Derivada De X 2"